ARTÍCULOS
COLOMBIA Y EL GAS NATURAL "ANÁLISIS ECONOMÉTRICO DE LA OFERTA DEL GAS NATURAL"
Eber Eli Gutiérrez Londoño*; Hernán Darío Aguiar Garces**; Francisco Iván Zuluaga Díaz***
* Docente Universitario (U de M), Economista Industrial (U de M), especialista en Gobierno Público (U de M).** Docente Universitario (U de M), Economista Industrial (U de M). Aspirante Especialista Economía y Negocios Internacionales.
*** Docente Universitario (U de M), Economista Industrial (U de M)
Agradecimientos a Edith Agudelo, por su colaboración en parte de la recopilación de la información para el desarrollo del presente informe.
La utilización del gas natural en Colombia se inicia a finales de los años 70 en la Costa Atlántica, fundamentalmente su uso correspondía a las plantas termoeléctricas: a medida que el tiempo transcurrió se inició un plan de masificación, cuyo objetivo era promover el uso eficiente de las reservas de gas natural vía satisfacción de una demanda creciente debido probablemente a la reducción en el consumo de energía eléctrica y a su vez porque se pretendía generar condiciones propicias para la inserción del sector privado en lo referente a proveer una oferta energética suficiente y diversificada.
En 1995, El Consejo Nacional de Política Económica y de Salud, formuló un plan con el objetivo de fomentar el uso eficiente de la Energía, dentro de los que los aspectos más importantes a resaltar fueron los siguientes:
• Programas de divulgación de uso racional de energía.
• Mejora en la eficiencia del parque térmico.
• Sustitución de energía eléctrica por gas natural o gas licuado de petróleo (GLP). en los sectores residencial, comercial, en industrial.
• Sustitución de gasolina y diesel por gas natural comprimido o gas licuado de petróleo en el transporte.
Todo este plan motivó la instalación de plantas térmicas en diferentes puntos del país dado el posible incremento de la demanda en el futuro, esto trajo como resultado la realización del subsistema troncal en cual se interconectaron las principales cuencas productoras de gas natural en el país y los más importantes centros de consumo, uniendo los campos de la Guajira, Huila, Magdalena Medio y Piedemonte Llanero.
El resultado ha sido excelente con respecto al incremento en la demanda en el sector residencial, alcanzándose una cobertura del 90% en todo el país, teniendo como principal consecuencia la inserción de un mayor capital privado en el sector eléctrico.
El gas natural es un recurso natural no renovable perteneciente a los hidrocarburos, generalmente se encuentra en yacimientos subterráneos o submarinos, bien sea sólo o en conjunto con el petróleo, su principal componente es el metano. Como particularidades del gas natural se puede anotar que es menos denso que el aire, no es tóxico y no tiene color, ni olor, y que se compone de una mezcla de hidrocarburos, como: Metano, Etano, Propano, Butano y Pentano y de pequeñas cantidades de elementos que no son hidrocarburos ente los cuales se encuentran: Anhídrido carbónico, Helio, Ácido sulhídrico y el Nitrógeno.
REGULACIÓN DEL SECTOR GAS
La regulación económica busca promover la participación privada e incentivar la libre competencia. Esto es uno de los objetivos más importantes que persigue la ley 142 de servicios públicos domiciliarios, de ésta se concluye que la etapa de exploración y producción se sostiene en el mismo contexto en el cual Ecopetrol directamente o mediante contratos con empresas privadas realizan estas tareas, después de realizada la exploración la empresa privada y Ecopetrol coordinan la manera de comercializar el producto.
Con esta nueva legislación se ha impulsado un proceso de liberación del precio de la venta del gas natural, buscando promover la participación de productores adicionales a Ecopetrol en la comercialización del gas.
LEGISLACIÓN COLOMBIANA
Las condiciones económicas de los distintos países varían sin duda alguna a través del tiempo, esto trae como consecuencia que las estructuras al interior de los países tengan que adaptarse a las nuevas condiciones, exento de este cambio no están los recursos naturales que durante mucho tiempo han sido el motor bajo el cual se sustenta la actividad económica. La necesidad de preservar el uso de estos recursos lia exigido la creación de leyes que limiten su uso y á su vez busquen una mayor eficiencia en su extracción.
De acuerdo a las tendencias observadas a partir de los 90's y plasmadas en a constitución del 91. se establecen diferentes leyes que determinan el régimen bajo el cual se deben acoger los servicios públicos domiciliarios. Estas leyes son:
LEY 142 DE 1994: esta define el régimen legal de las Empresas de Servicios Públicos, que son sociedades por acciones y donde las entidades públicas pueden convertirse en Empresas industriales y comerciales del estado, están regidos por las normas del derecho privado.
Establece la posibilidad de realizar contratos para el acceso compartido y la interconexión de los sistemas de dos o más instituciones prestadoras ele servicios mediante el pago de una remuneración razonable, se fomenta la libre competencia entre empresas privadas o mixtas para la prestación de los servicios, definiendo:
El Papel del Estado en la prestación de los diferentes servicios. El régimen tributario y tarifario. El régimen de subsidios. Los derechos, deberes y protección de los usuarios y Cuáles son los entes reguladores de las instituciones prestadoras.
LEY 143 DE 1994: La norma define el servicio de electricidad y el régimen de las actividades que lo componen como, generación, transmisión, distribución y comercialización de la energía eléctrica y el gas natural. Dentro de sus funciones principales se destacan:
• Diseñar y estructurar condiciones propias para generar un entorno competitivo donde el sector privado juegue un papel importante en la racionalidad del uso y prestación de los servicios.
• Controlar actividades monopólicas que vayan en contra de la eficiencia.
• Especificar las funciones del Estado, del Ministerio de Minas y Energía con respecto al servicio público de electricidad.1
En este orden de ideas puede entenderse la disponibilidad de las empresas del sector a ingresar en el mercado del gas natural, pero fundamentalmente se requiere de un buen modelo econométrico que permita predecir el comportamiento de las variables relevantes en la determinación de la oferta para dicho mercado.
"ANÁLISIS ECONOMÉTRICO DE LA OFERTA DEL GAS NATURAL"
La conceptualización teórica del comportamiento de los bienes sustitutos que conforman los recursos naturales no renovables, entre los que se encuentra el gas natural, es de gran utilidad en el desarrollo de modelos econométricos que permitan captar la dinámica intertemporal de éste, las actuales condiciones en materia energética y las grandes reservas del gas natural que posee Colombia estructuran el marco propicio para la construcción teórica de un buen modelo.2
El objetivo principal consiste en asumir que "el productor busca maximizar el valor presente esperado de los ingresos netos obtenidos del costos de extracción del recurso natural en mención, lo que dará como resultado el plan óptimo a seguir.
Entre las características principales del modelo a considerar, se tiene que el productor se enfrenta a la incertidumbre del comportamiento futuro de los precios del bien e igualmente a la evolución de los costos de su extracción, esto origina que el productor endogenice las expectativas a cerca de estas dos situaciones.3
EL MODELO TEÓRICO
Es un elemento característico del análisis de la oferta de recursos naturales, tener presente el concepto de escasez, este aspecto toma mayor preponderancia cuando el recurso natural es no renovable y además si se extrae en un sistema económico como el actual, que conlleva a un excesivo consumo de estos recursos como fuente de energía, tal es el caso del carbón, petróleo y gas natural. El planteamiento anterior condiciona a que la explotación de estos recursos sea guiada por un alto contenido de racionalidad que mida los efectos de la políticas de producción actuales sobre el futuro, tratando de generar mejores niveles de vida no solo para la sociedad actual sino también para las generaciones futuras.
En este trabajo se pretende diseñar un modelo que vaya de acorde con el planteamiento anterior enfocado en el gas natural, aunque puede ser igualmente aplicado para cualquier recurso natural no renovable.
La estimación econométrica que se desarrolla en este informe, es deducida de un modelo de optimización estocástico dinámico para un recurso energético no renovable, (el gas natural), en el que el productor elige la tasa de extracción que maximiza el valor presente neto descontado esperado del bien.
La presunción establecida frente al comportamiento futuro de los precios y los costos de extracción, dará origen a términos aleatorios en las ecuaciones econométricas deducidas.
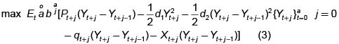
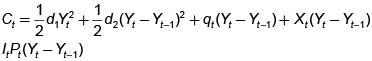
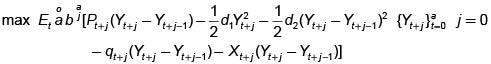
Sea Y la cantidad de gas natural explotada en el período t; donde (Y1 - Yt-1) denota la explotación del gas natural adicional ocurrido durante el período t. El costo de explotación del recurso durante este período está dado por4:

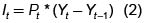
Donde Xt representa un shock de tecnología no observado por el econometrista y qt refleja los impuestos. El ingreso del productor en el período t está dado por

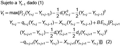
Se asume que el productor del recurso busca maximizar el valor presente descontado del gas natural, es decir plantea el siguiente problema:

Sujeto a Yt–1, (dado)
Donde Et denota la esperanza matemática condicionada a la información disponible por el productor en el período t, Pt es el precio del gas natural y b es la tasa de descuento para deducir la regla de decisión que representa la conducta óptima del productor, se debe especificar las ecuaciones generadoras para Pt, Xt, qt. Estas ecuaciones las utilizará el productor en el período t para realizar pronósticos sobre el precio y costos de extracción futuros.
Se asume que las ecuaciones generadoras serán lineales de modo que la regla de decisión será lineal en un subset de las variable conocidas por el productor en el período t.
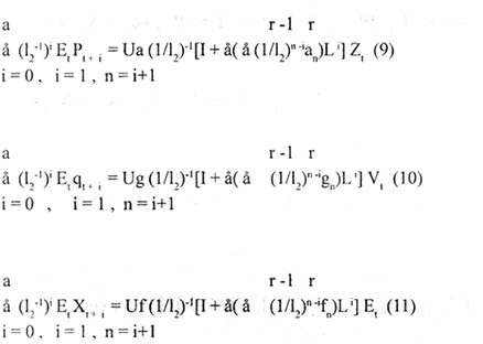
Sea Pt un elemento de Zt. El vector Zt contiene todos las variables que el productor usa para predecir futuros precios. Se supone que Zt sigue un esquema autorregresivo.

donde L es el operador de rezagos

Paralelamente Xt es un elemento de Et, donde Et puede ser representada como

donde

El vector Et contiene todos las variables que el productor usa para predecir futuros shocks tecnológicos.
Y finalmente sea qt un elemento de Vt, donde Vt puede ser representado como: ¡(L)g = (V
donde

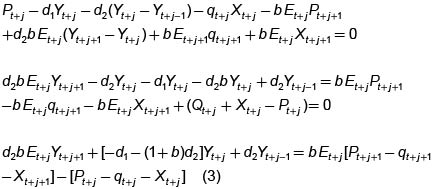
Se asume que Z, E y ¡ son procesos estocásticos de covarianza estacionaria, decir las raíces de los polinomios a (s), ¡(s) y f (s) están fuera del circulo unitario. Para encontrar la regla de decisión que maximiza (1) en primera instancia se aplica la ecuación de BELLMAN5 (2) que da como resultado la ecuación de EULER (3).





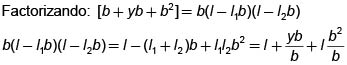
Encontrando polinomio característico y denotando s = t + j y rezagando un período tenemos:

Utilizando operador rezagamos de la siguiente manera:




Cuya condición de transversalidad es:

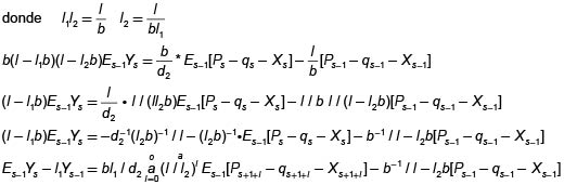
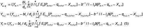
El paso siguiente consiste en resolver la ecuación en diferencias número 3, para encontrar la cuasi-regla de decisión No. 5, para encontrar exactamente la regla de decisión óptima se hace necesario obtener soluciones explícitas para los problemas de predicción.

Usando las fórmulas de predicción desarrolladas por Hansen y Sargent, en conjunción con 6.7 y 8. se tiene que:

Introduciendo 9, 10 y 11 en 5, se obtiene una expresión para la regla de decisión de Yt.

La ecuación 12 expresa de una manera correcta las restricciones impuestas sobre la regla de decisión y los parámetros de los procesos estocásticos para Zt, Vt, y Et.
Se puede observar que tanto valores presentes y rezagados de Zt y Vt, aparecen en la regla de decisión porque ellos ayudan a predecir valores futuros de Pt y qt, lo que en un contexto de coito plazo trae la implicación de que cualquier proceso estocástico que cause en el sentido de granger a Pt, qt deberá ser incluido en la regla de decisión para Yt.
Dado por concluido esta primera etapa queda como análisis subsiguiente, el análisis y ejecución del modelo económetrico que permita captar la dinámica intertemporal de la oferta del gas natural en Colombia.
BIBLIOGRAFÍA
Hansen, Lars R, y Thomas J sargent. 1981 "Formulating and Estimating Dynamic linear Rational Expectations Models", En R.E. Lucas Jr., y T.J. Sargent, eds, Rational Expectations and Econometric Practice (Minneapolis, Minn., University of Minnesota Press).
Epple, Dennis. "The Econometrics of Exhaustible Resourse Supply A Theory and an Application". En Thomas J. Sargent (ed), Energy, I oresight. and Strategy. Resources For The Future. Washington, D.C, 1985.
Sargent, T.J. 1979. Macroeconomic Theory (New York, Academic Press).
Ljungquist, Lars.. y Thomas J Sargent 1998. Recursive Macroeconomic Theory Riflle. Stanford Edu.