ARTÍCULOS

 

El despegue de la industria en Antioquia (1915-1930)

 

 

Alejandro Arbeláez Arango*

*Economista Industrial. Docente Universidad de Medellín. Especialista en Economía Internacional y Gobierno público.

 

 

El año de 1914 es para Europa el comienzo de un oscuro período conocido como la Primera Guerra Mundial, conflicto que se extendería por gran parte del continente europeo durante cinco años (1914-1919) y que afectaría toda la economía mundial y, de manera particular, a Colombia, ya que sus principales socios comerciales: Inglaterra, Francia y la naciente potencia norteamericana, se involucrarían en la contienda estableciendo así una economía de guerra con sus consiguientes consecuencias.

El hecho de que los principales proveedores de artículos extranjeros fueran Francia e Inglaterra y que ambos estuvieran involucrados en la guerra, llevó a que se diera una primera coyuntura favorable para el fortalecimiento de las jóvenes industrias antioqueñas, empresas que entraron a sustituir por ejemplo el mercado de textiles no sólo en la región sino en Colombia e, incluso, en países como Ecuador, Venezuela y Perú, vía exportaciones.

La guerra que lógicamente afectó gran parte del comercio mundial, en el caso colombiano y particularmente en Antioquia, llevó a que se diera un descenso tanto en las exportaciones como en las importaciones. En el caso de las primeras, el principal renglón regional y de Colombia era el café, producto comercializado hacia Europa y los Estados Unidos, zonas que, al estar en la Guerra, dedicaban sus esfuerzos económicos al conflicto y no al comercio; adicionalmente, las naciones involucradas en la contienda destinaron sus flotas marítimas al transporte de tropas y armamentos; por tanto, el flujo comercial entre naciones disminuyó ostensiblemente en la medida en que no había medios para el transporte de mercancías.

En el caso de las importaciones, su caída benefició enormemente a las industrias del país y de Antioquia en particular, ya que quedaron con un mercado cautivo durante el período de Guerra que les permitió elaborar un proyecto forzoso de sustitución de importaciones dando un impulso importante a la industria; igualmente relevante fue el hecho de que las grandes casas comerciales, propiedad de antioqueños instaladas en Jamaica principalmente, por la disminución del comercio, buscaron nuevos horizontes para invertir sus capitales en aquellas actividades donde se garantizara la rentabilidad que se derivaba de la operación comercial. Con lo cual estos dineros arribaron al sector industrial antioqueño para producir y comercializar aquellas manufacturas que antes importaban.

Consecuencias de estas importantes inversiones, fueron la ampliación de la base industrial del Departamento y el fortalecimiento de la mano de obra obrera que ahora era más demandada aún, lo que traía importantes presiones sobre los salarios, y éstos, sobre la demanda agregada.

Para esta época, las industrias antioqueñas representaban más del 65% del total nacional; sin embargo, la industria en general apenas si representaba el 10% del Producto Interno Bruto, con lo que se aprecian dos características importantes: la primera, cómo la actividad fabril estaba concentrada en un alto porcentaje en Antioquia, y la segunda, cómo la industria frente ala producción de café y oro que eran los principales componentes del PIB, representaba todavía muy poco.

En todo caso, al entrelazar circunstancias como el desabastecimiento de bienes importados a causa de la guerra, los esfuerzos en materias de comunicaciones del gobierno Ospina, la llegada de capitales otrora del comercio a la industria y el surgimiento de los Estados Unidos como potencia económica mundial, desencadenarían un auge industrial en Antioquia y Colombia.

De esta manera se fundaron en la región industrias como la Compañía Colombiana de Tabaco, empresa productora de cigarros y cigarrillos que estaba sustentada sobre la unión, en el año de 1916, de la Compañía Industrial de Cigarrillos con otras pequeñas empresas productoras, que a la postre, tomarían el nombre definitivo de Coltabaco en el año de 1919. Esta empresa, desde su fundación, realizó una emisión de 100.000 acciones con un valor nominal de diez pesos ($10) oro c/u., mecanismo que emplearía con alguna frecuencia para capitalizarse. La futura Coltabaco ocupaba en el año de 1917 a más de 300 obreros en su mayoría mujeres y para el año de 1919 producía más de 10.000.000 de cigarrillos al año con más de 500 obreros en sus plantas de Medellín, Bogotá, Cali y Barranquilla. Una de las características más importantes de esta empresa y que la haría grande a través de la historia, fue el haber empleado desde sus inicios tecnología de punta que le permitió obtener alta productividad y en muy pocos años, establecerse como el primer monopolio empresarial privado en Colombia.

En el año de 1920 se funda la Compañía de Chocolates Cruz Roja, empresa que en realidad era la suma de pequeños negocios. Inicialmente se creó con un capital de cuatro mil pesos ($4.000) oro y 400 acciones, pero al poco tiempo se realizó una nueva inyección de capital del orden de quinientos mil pesos ($500.000) oro y 50.000 acciones.1 Esta empresa en el año de 1924, se transformaría en la Compañía Nacional de Chocolates y si bien no constituía un monopolio en el país, estableció, con otras empresas del ramo una sociedad de cuentas de participación constituyéndose tácitamente en un cartel chocolatero.

La fábrica de Hilados y Tejidos del Hato (Fabricato) se fundó en el año de 1920 pero no comenzaría a operar formalmente hasta el año de 1923. Esta importante empresa antioqueña contó desde sus orígenes con maquinaria de avanzada tecnología y fabricada en los Estados Unidos (telares automáticos norteamericanos vs. telares mecánicos ingleses) superando por mucho la eficiencia de las antiguas máquinas inglesas con que contaban las demás textileras. Inicialmente la empresa tenía 100 telares pero sólo tres años después, contaba con más de 200. Fabricato en el año de 1939 se uniría con la Fábrica de Textiles de Bello y se consolidaría en aquella época como la más grande empresa del país con un capital de $5'000.000 y como la segunda textilera más importante (después de Coltejer) durante todo el siglo XX.

Otro avance importante para la industria y la caficultura sería la fundación, en el año de 1922, de Café La Bastilla, empresa dedicada al procesamiento del grano y que ha permanecido en funcionamiento durante todo el siglo.

También en el año de 1925 se fundan dos importantes empresas, la Fábrica de Gaseosas Lux y el Taller Industrial Apolo; la primera fusionada con Postobón en la década de los 80 y la segunda, fabricante de maquinaria y equipos industriales y agrícolas que ha perdurado durante todo el siglo XX.

Esta proliferación de empresas llevó a que en el año de 1929 se fundara en Medellín, el primer gremio empresarial con el nombre de "La Industria Nacional Colombiana". Dicha agremiación, cuya concepción era de carácter nacional, contó en sus inicios con cincuenta y cuatro empresas afiliadas entre las que se destacaban textileras, chocolaterías, fábricas de gaseosas, fundiciones y talleres, una fábrica de cigarrillos y otras empresas de actividades varias. La Industria Nacional Colombiana continuó en los años siguientes impulsando la creación de agrupaciones denominadas "Comités Gremiales" con el fin de dar mayor dinamismo e identidad a los diferentes sectores.

"Esta entidad precursora realizó fuertes campañas en favor de las manufacturas nacionales en forma de publicidad, y patrocinando concursos de frases en defensa de los productos colombianos. Sus nueve años de vida aparecen caracterizados por sus esfuerzos en favor de la reforma de los aranceles en busca de mejores protecciones a las fabricaciones colombianas. Así mismo, trabajó por obtener exenciones de impuestos para las industrias en los municipios; realizó exposiciones; mantuvo exhibiciones de productos nacionales en sus vitrinas y publicó revistas, en Bogotá con el nombre de "Colombia Industrial" y en Medellín con el nombre de "Antioquia Industrial", ambas de muy buena factura e interesante contenido...".2

Parece ser que hacia el año de 1937, muy seguramente por problemas económicos y falta de articulación y coordinación entre los diferentes comités gremiales, La Industria Nacional Colombiana comenzó a caer hasta que desapareció un año después. Sin embargo, esta primera iniciativa de asociación, sería, de singular importancia para la creación de la Asociación Nacional de Industriales ANDI, seis años más tarde, ya que por primera vez la industria tomaba una identidad propia y comprendía las bondades de organizarse como gremio y de esta manera, presionar sobre las políticas estatales en temas referentes a capital extranjero, salarios, aranceles, etc.

En todas estas empresas de los años 20, igual a las existentes desde los primeros años del siglo, comenzó a operar la modalidad de sociedades anónimas que buscaban, mediante la emisión de acciones captar ahorro de inversionistas privados, ya que en sus inicios había predominado, para la creación y consolidación de empresas el juntar simplemente grandes fortunas familiares que constituían círculos supremamente cerrados donde no existía ningún tipo de democratización de la propiedad. Con la emisión de acciones, surgieron comisionistas de bolsa y con ellos el mercado de acciones; dicho mercado accionario se desarrollaba fundamentalmente en el marco del Parque Berrio3 y eran transados, entre otros, títulos de propiedad de empresas como: Gaseosas Posada Tobón (Postobón), Compañía Colombiana de Tejidos (Coltejer), Compañía Colombiana de Tabaco (Coltabaco), Banco Alemán-Antioqueño (futuro Bancoquia y hoy Banco Santander), Cervecería Antioqueña Consolidada (futura Cervunión), Fábrica de Galletas y Confites Noel, Compañía de Tejidos Rosellón, Compañía Nacional de Chocolates y otras; en suma, se negociaban las mismas acciones que predominan en el mercado accionario de fines del siglo XX tan solo modificado por las jóvenes empresas del sector servicios que aparecían años más tarde.

Al respecto Ospina Vásquez afirma:

"Ya era rara la empresa industrial de alguna importancia que no estuviera organizada como persona jurídica y casi invariablemente como sociedad anónima... A pesar de la organización formal deficiente, el mercado bursátil era más o menos suficiente para lo que se le exigía... En muchas partes había aparecido y se hacía sentir el pequeño accionista. Sin embargo, todavía la función de accionista era esencialmente propia de los capitales de cierta consideración.
Otro aspecto de la estructura del cuerpo de nuestra industria que merece anotarse era la falta de un mercado para los papeles de rendimiento fijo que pudieran emitir las empresas. Las emisiones de este género eran prácticamente desconocidas...".4

Un ejemplo de cómo la coyuntura de la guerra dio un impulso significativo a las nacientes empresas antioqueñas, se refleja claramente en el caso de las textileras, empresas éstas, que ya representaban el 16% del total de la industria en la región y que sustituyeron las telas importadas (principalmente de Inglaterra) por producción local. Para ello, se requirió una importante inversión de capital a tal punto que, en el año de 1916, éste era de $ 3'500.000 y al finalizar la guerra había alcanzado la cifra de $10.000.000, dineros que impulsaron, entre otras, a empresas como la Fábrica de Tejidos de Bello (luego absorbida por Fabricato) y a la Compañía Colombiana de Tejidos Coltejer.

Sin embargo, la disminución en las importaciones durante la Guerra, afectó de manera negativa el crédito externo y las rentas del Estado ya que las mismas estaban sustentadas fundamentalmente sobre las rentas de las aduanas, y al no haber mercancías para importar, no había artículos qué gravar y por tanto no se recibían ingresos arancelarios.

Estos hechos llevaron a plantear una realidad económica: la vulnerabilidad del sistema fiscal del Estado debido a su frágil estructura, ya que dependía principalmente de los ingresos de aduanas y éstos, estaban ligados indefectiblemente a las circunstancias internacionales que constituyen una externalidad para la economía colombiana. Por este motivo el gobierno se vería abocado a realizar grandes reformas fiscales. Inicialmente, el Estado de la mano del gran Ministro de Hacienda Esteban Jaramillo, empleó una política fiscal contraccionista reduciendo sus gastos en aspectos como la educación, obras públicas, salarios, número de empleos y otros; adicionalmente, se crearon nuevos impuestos y se incrementaron los existentes, a tal punto, que se gravaron los bienes importados de carácter suntuoso, se crearon tribu tos al consumo y se estableció un impuesto sobre la renta.

En el siguiente gráfico, elaborado con cifras del libro "Industria y Protección en Colombia", se observa claramente la evolución sufrida tanto por las exportaciones como por las importaciones en Colombia durante los primeros años del siglo XX. (Se calculan las exportaciones antioqueñas entre un 40% y 50% del total nacional).

Exportaciones e importaciones en Colombia durante los primeros años del siglo XX

 

Un hecho importante a resaltar es cómo por Colombia no poseer flota marítima propia, y las de otros países estar destinadas a la guerra, el café durante los años del conflicto no pudo ser comercializado en el mercado externo y por tanto, las existencias del grano fueron acumuladas; esto se refleja en la gráfica de exportaciones para el año de 1919. Esta situación beneficiaría grandemente a Antioquia en los años posteriores ya que al comercializar el café "represado", se obtuvieron las divisas necesarias para la importación de bienes de capital, indispensables en la creación y consolidación de la industria.

En todo caso, la coyuntura de la Guerra puso de manifiesto muchos de los problemas que el Estado colombiano tenía en diferentes órdenes, así como la dificultad en el recaudo de aduanas y el sustento casi único de ingresos basado en las mismas. El país encontraba grandes deficiencias en la red de transportes que, posterior al gobierno Reyes, se había descuidado considerablemente; la estructura monetaria, con el cierre del Banco Central en el año de 1910, se había derrumbado y la situación política, si bien gozaba de paz y tranquilidad, carecía de proyectos para enfrentar estas dificultades.

Con respecto al sistema de transportes, afortunadamente para el país y Antioquia, en el año de 1922 es elegido Presidente el General antioqueño Pedro Nel Ospina (1922-1926), hombre de empresa quien se da a la tarea de continuar con los proyectos iniciados por Reyes de articular los diferentes mercados mediante el ferrocarril y las carreteras y de esta manera a la economía nacional. Por ejemplo, uno de los grandes proyectos de su gobierno fue poner en marcha (1926) la construcción del túnel de La Quiebra, que sería terminado en el año de 1929 y uniría de manera definitiva a Medellín con Puerto Berrío en un solo trayecto de ferrocarril.

La falta de conexión en las vías era una de las grandes limitantes del comercio y, en mayor grado, de la industria antioqueña que por estar ubicada en un departamento geográficamente aislado, dificultaba y encarecía la distribución de bienes a mercados que estaban dispersos por todo el territorio nacional. Si bien existían los ferrocarriles impulsados por Reyes, estos articulaban principalmente a las regiones cafeteras, a tal punto, que por este medio sólo se transportaba el 18% del comercio interno y el resto, correspondía a productos de exportación dentro de los cuales el más relevante continuaba siendo el café.

Fruto de los esfuerzos del gobierno Ospina por articular las regiones y de esta manera favorecer el comercio interregional, fue la incorporación de mano de obra campesina en la construcción de obras públicas, la que sumada a la demandada por las crecientes industrias, creó una gran demanda por obreros con las consecuentes presiones sobre salarios; esto llevó a que aumentara la capacidad de compra de los trabajadores industriales y los de obras públicas y a que la remuneración entre las actividades del campo y la ciudad fuera de dos a uno en favor de la segunda. Bajo estas circunstancias, no sólo la capacidad de consumo de la clase obrera aumentó, sino también se conectaron regiones distantes de Medellín, con lo que se integraron al mercado pueblos y municipios que habían tenido un carácter eminentemente agrícola y autónomo, y que ahora gracias a las vías, encontraban la posibilidad de vincularse al comercio, comercio que ya no era fruto de las importaciones sino de bienes fabricados en Medellín y sus alrededores.

Para la financiación de las obras públicas impulsadas por Ospina, el país se vio en la necesidad de acudir al mercado financiero internacional en busca de crédito. Antes del gobierno de Rafael Reyes. Colombia, por sus moras en créditos tomados desde la independencia, tenía muy mala imagen ante los banqueros del extranjero, pero gracias a Reyes, se habían solucionado en gran medida los pagos de deuda y ahora en plena época de industrialización, con ingresos auríferos y del café, y con una suma de US $ 25'000.000 que el gobierno norteamericano entregó en el año de 19235 a Colombia como indemnización por el robo del Departamento Panamá, la situación del país presentaba las garantías necesarias para que prestamistas internacionales estuvieran dispuestos a conceder créditos importantes tanto al gobierno como a los particulares.

Colombia, durante gran parte del siglo XIX, estuvo prácticamente cerrada al crédito internacional por lo frágil de su infraestructura económica, el crónico incumplimiento con acreedores, su escaso desarrollo exportador y lo cambiante de su política; sin embargo, durante los años 20, teniendo presente los factores mencionados en el párrafo anterior y el nuevo papel que comenzaba a desempeñar Estados Unidos en la economía mundial, el país empezó un período de gran prosperidad económica sustentado en créditos (principalmente norteamericanos) y conocido en la historia como la "prosperidad al debe"

"era tal el interés de los banqueros norteamericanos por conceder créditos y tal el deseo colombiano de recibirlos, que en 1926 había 29 representantes de casas financieras norteamericanas en Colombia tratando de colocar préstamos a la nación, los departamentos y los municipios".6

Estos préstamos se vieron reflejados en un gran impulso a la industria mediante créditos y subsidios, y un incremento enorme en obras públicas a tal punto, que el gasto público se triplicó entre los años de 1926 y 1929 y de éste, el rubro de obras públicas representaba el 29.4% del total de las inversiones nacionales estando los gastos específicos en obras de transporte que representaban el 75% del destinado a obras públicas. Este gasto desbordado en infraestructura llevó a que los gastos públicos per cápita pasa de 55 dólares en el año de 1926 a 13.7 dólares en 1929 con los consecuentes aumentos en la capacidad de compra en un mercado abastecido mayoritariamente por mercancías nacionales.

Estos préstamos, procedentes fundamentalmente de Estados Unidos, eran sólo un reflejo de la clara relación comercial que esta nación comenzaba a establecer con Colombia y que ha predominado a todo lo largo del siglo XX.

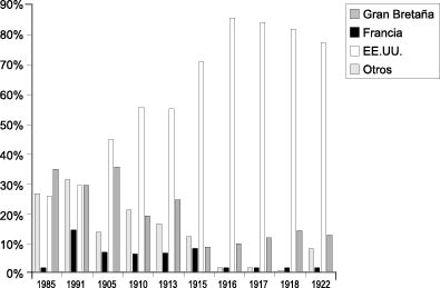
En las siguientes gráficas7 se aprecia cómo, tanto en exportaciones como importaciones, Estados Unidos se convierte en el mejor socio comercial del país y de Antioquia en la medida en que el café era ya el mayor rubro de exportación y de éste, más del 46%8 era cultivado y comercializado por antio-queños, con lo que gran parte de las divisas provenientes del grano eran destinadas por estos a la compra de bienes de capital para fortalecer, así, sus ya importantes industrias.

 

Exportaciones colombianas por países de destino

Es importante destacar en el presente gráfico de exportaciones cómo mientras Inglaterra y Francia van descendiendo (sobre todo a partir de la Guerra), Estados Unidos se convierte casi en el único comprador de bienes colombianos.

Exportaciones colombianas por países de destino

 

 

Importaciones colombianas por países de origen

Al igual que en el gráfico de exportaciones, en éste se observa el decrecimiento de las importaciones procedentes de los países europeos (también a partir de la Guerra) y cómo comienza Estados Unidos a dominar el mercado de bienes importados en Colombia.

Importaciones colombianas por países de origen

 

Adicional a todas las circunstancias y hechos en los que se veía envuelto el país, y la región antioqueña en particular, se sumaba el profundo desorden monetario que imperaba en la nación luego del cierre, en el año de 1910, del Banco Central fundado por Reyes. Ello había conducido a que el gobierno perdiera en gran medida el manejo monetario del país, y el mismo fuera asumido por múltiples banqueros privados con las consecuentes especulaciones que no hacían más que desalentar y dificultar el desarrollo industrial y económico de la nación. Para poner fin a este caos, el gobierno de Ospina contrató una Misión de Consejeros Financieros internacionales encabezada por el profesor Edwin Walter Kemmerer. Dicha misión, daría las recomendaciones necesarias para la fundación, en el año de 1923, del Banco de la República, con lo cual el gobierno esperaba (y de hecho logró) reorganizar el desordenado e inoperante sistema financiero, indispensable para un país que comenzaba a asomarse a las esferas del desarrollo.

La fundación del Banco Central permitió al país contar con un mecanismo financiero sólido, estable, transparente y responsable que comenzó por establecer una moneda única para todo el territorio nacional cortando de raíz las emisiones realizadas por bancos o instituciones privadas y de carácter local que no hacían más que fragmentar la república en la medida que no propendían por una unidad e identidad económica. Con esto, se logró restablecer el orden y el monopolio del Estado en la política monetaria con consecuencias fundamentales para la economía y la industria entre ellas la caída, en más del 50%, de las tasas de interés (de 12% y más, se pasó a 6% e.a.) en la medida que con el reordenamiento monetario los capiteles destinados a la especulación financiera se vieron controlados por un Banco Central que no permitía dichos desmanes y que buscaba controlar la gran variedad de documentos privados que actuaban como medios de pago, centralizar las reservas de oro de la nación, controlar la circulación monetaria, supervisar el crédito y muchas otras funciones propias de un Banco Central. El gobierno, además, adoptó las recomendaciones de la misión Kemmerer en lo referente a la reglamentación de los bancos comerciales, especializándolos por sectores como el agrícola, ganadero, comercial, hipotecario, etc. Con esta segmentación financiera se lograba imprimir mayor eficiencia a un sector tradicionalmente manejado con criterios individuales y no de búsqueda del bien común.

Todos estos acontecimientos, acaecidos a partir de la Primera Guerra Mundial hasta el año de 1929, llevaron a que al final del período Antioquia y con ella Colombia, fueran un país y una región sustancialmente diferentes a los de principios de siglo; el café era ya, con mucho, el principal renglón exportador y Antioquia el mayor productor, con lo que la región garantizaba un flujo de divisas permanente que posibilitaba la importación ya no de bienes finales, sino principalmente maquinaria y materias primas para las importantes industrias que se estaban creando o que llevaban pocos años de funcionamiento. La demanda interna venía en constante ascenso gracias a la presión que la demanda de mano de obra ejercía sobre los salarios, la ampliación de los mercados por la inversión en infraestructura, los créditos externos que eran empleados en obras públicas, la productividad industrial que permitía rebajar costos, los precios internacionales del café en continua alza, la caída en las tasas de interés y su consecuente empuje hacia actividades de inversión, factores todos que daban estabilidad a la economía y que permitían una mayor consolidación y expansión a las industrias antioqueñas.

Finalmente, desde el punto de vista puramente político, y a partir de la llegada del antioqueño Carlos E. Restrepo a la Presidencia de la República (1910-1914), siguiendo con Marco Fidel Suárez (1918-1921) y terminando con Pedro Nel Ospina (1922-1926), la política no sólo regional sino también nacional estará altamente influida por el poder de la burguesía industrial a tal punto, que los gobiernos de turno se ocuparán de incluir siempre a antioqueños en sus gabinetes con lo que la clase industrial de Antioquia comienza a dominar en las esferas sociales, económicas y políticas de la nación.

 


NOTAS:

1 Esta práctica de constituir empresas con muy poco capital y luego fortalecerlo con nuevas "inyecciones" era bastante común por razones tributarias, ya que los impuestos sobre constitución eran mucho más elevados que sobre capitalización.

2 Poveda Ramos, Gabriel. ANDI y la Industria en Colombia 1944-1984, 40 años, p. 4, ANDI, 1984.

3 Lugar en el centro de la ciudad de Medellín donde por tradición se han realizado los grandes negocios industriales y financieros.

4 Ospina Vásquez, Luis. Industria y Protección en Colombia 1810-1930, p. 481, Oveja negra, 1974.

5 Estos dineros se recibieron así: diez millones (US$10.000.000) en el año de 1923, y cinco millones (US$5.000.000) anuales en 1924, 1925 y 1926.

6 Bejarano Avila, Jesús Antonio. La Economía colombiana entre 19822 y 1929. Nueva Historia de Colombia (tomo V), p. 53, Planeta, 1989.

7 Datos tomados de los cuadros No. 9 y 10 de la enciclopedia Nueva Historia de Colombia (tomo V) p. 46-47.

8 Se incluye la producción del Viejo Caldas


 

Bibliografía

Botero, Fernando. La Industrialización en Antioquia 1900-1930. Medellín, Universidad de Antioquia, 1985.

Brew, Robert. El Desarrollo Económico de Antioquia desde la Independencia Hasta 1920. Bogotá, Banco de la República, 1977.

CESDE. Investigación sobre el Proceso de Industrialización del Valle de Aburra. Medellín, Mimeo, 1970. 39p.

Mayor Mora, Alberto. Ética, Trabajo y Productividad en Antioquia. Bogotá, Tercer Mundo Editores, 1996. 537p.

Melo, Jorge Orlando (Editor). Historia de Medellín. Bogotá, Suramericana de Seguros, 1996. 804p. (dos tomos).

Melo, Jorge Orlando . Reportaje de la Historia de Colombia. Bogotá, Planeta, 1989. (dos tomos).

Ospina Vásquez, Luis. Industria y Protección en Colombia 1810-1930. Bogotá, Oveja Negra, 1974.

Parsons, James J. La Colonización Antioqueña en el Occidente de Colombia. Bogotá, Banco de la República, 1961. 344p.

Poveda Ramos, Gabriel. Historia Económica de Antioquia. Medellín, Litografía Especial, 1988. 378p.

Poveda Ramos, Gabriel. Historia de la Industria en Colombia. En: Revista Trimestral ANDI (Medellín), No. 11,1970

Poveda Ramos, Gabriel. Antecedentes y Desarrollo de la Industria en Colombia. En: Revista Trimestral ANDI (Medellín), No. 4, Feb. 1967.

Poveda Ramos, Gabriel. ANDI y la Industria en Colombia 1944-1984 40 Años. Medellín, Servigráficas, 1984. 282p.

Zea, Gloria (Directora). Enciclopedia Nueva Historia de Colombia. Bogotá, Planeta, 1989. (tomo V).